1. 地平线机器人-W全年业绩预期怎么样?
截至2025年11月12日,根据朝阳永续季度业绩前瞻数据:
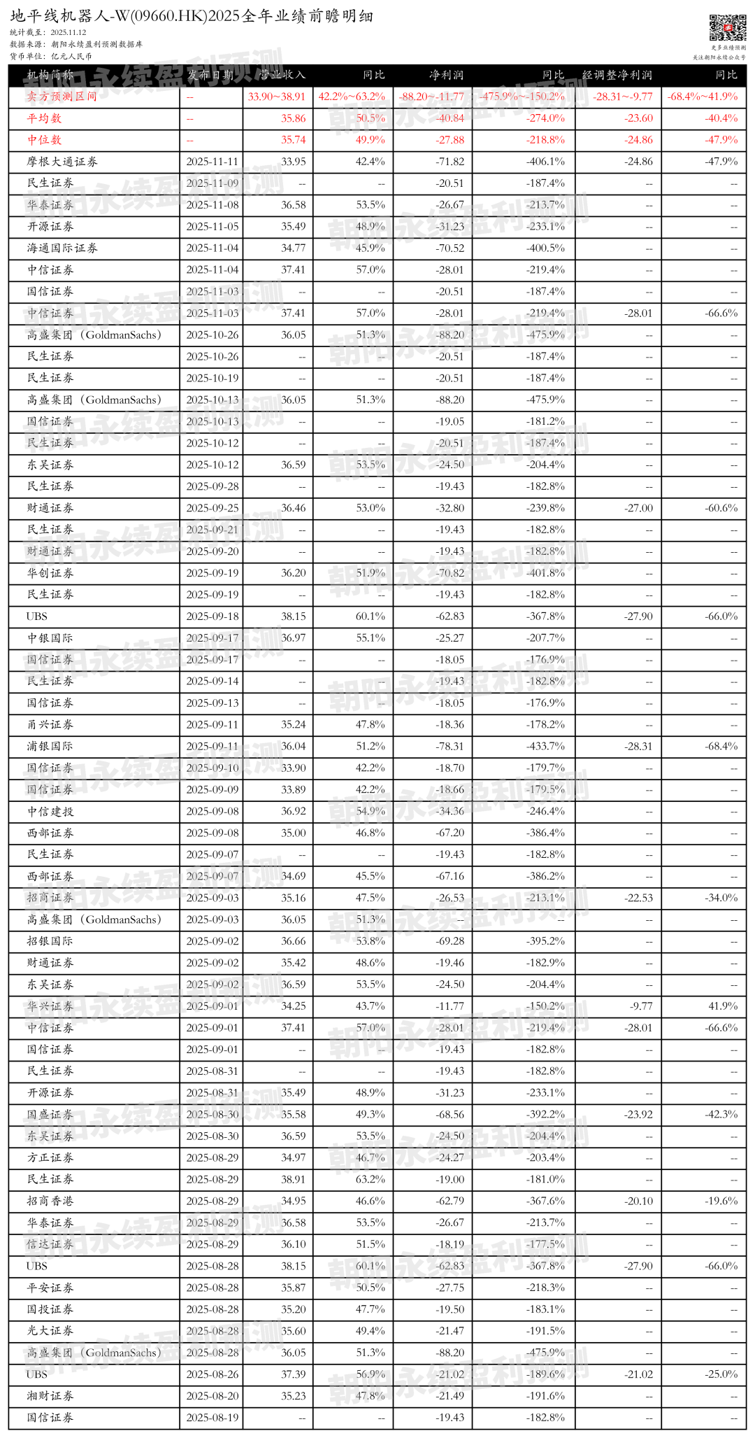
预测公司全年一致预期营业收入33.90~38.91亿元,同比增长42.2%~63.2%;预测全年一致预期净利润-88.20~-11.77亿元,同比变动-475.9%~-150.2%;预测全年一致预期经调整净利润-28.31~-9.77亿元,同比变动-68.4%~41.9%。
关注后续财报数据披露后能否超预期,朝阳永续港股季度业绩前瞻数据将为投资者提供业绩鉴定。

2. 地平线机器人-W最新卖方观点
海通国际证券认为:地平线机器人-W与ZFGroup联合开发面向中国市场的L3级智能驾驶系统,预计2026年量产。ZF提供硬件平台和安全验证,地平线提供Journey6P芯片及软件算法。合作强化了系统落地能力,J6P芯片性能获国际Tier-1标准验证。
地平线有望借助ZF全球网络拓展海外客户,预计2027年海外收入占比提升至10%。
分业务来说:
1) L3级智能驾驶系统合作:地平线与ZFGroup联合开发,预计2026年量产,强化系统落地能力。
2) J6P芯片性能获国际标准验证:作为核心算力平台,J6P芯片性能、功耗管理及工具链成熟度达到国际Tier-1集成标准。
3) 拓展海外客户:借助ZF全球网络,地平线有望加速海外定点,实现从国内到全球量产的跃迁。
财通证券认为:地平线机器人-W在智能驾驶芯片SoC领域具有显著的市场增长潜力。预计2025至2030年市场规模CAGR将达到29%,智能驾驶渗透率将从2024年的55%增长至2030年的近100%。公司在高算力芯片需求日益增长的背景下,凭借其ASIC技术优势,与英伟达等竞争对手形成技术范式差异,专注于特定任务定制,实现高算力利用率和低成本。预计公司2025至2027年营业收入将分别增长53%、70%和54%,达到36亿元、62亿元和96亿元。
(注:本文相关盈利预测数据均来自朝阳永续盈利预测数据库)
风险提示:本文所示数据或案例仅供参考之用,不能作为未来投资依据。投资股票有风险,市场波动、公司业绩、政策因素等都可能导致股票价格波动。请您在投资前充分了解相关信息,并根据自身的风险承受能力做出投资决策。
